常见细胞污染类型如何辨别及预防解决方法
常见细胞污染类型如何辨别及预防解决方法:细胞培养中常见的生物污染类型有7种,分别是细菌污染,支原体污染,原虫污染,黑胶虫污染,真菌污染,病毒污染以及非细胞污染,真菌污染来源,一般是来自实验服,并且具有气候性,多雨······
发布时间:2026-02-10 17:00:00 细胞资源库平台 访问量:132
乙肝病毒(HBV)感染是全球主要公共卫生问题之一,有超过2.5亿人慢性感染HBV。而其中有超三分之一的人口集中在我国,人数接近1亿人。NTCP工具细胞,特别是外源表达NTCP的肝癌细胞系如HepG2-NTCP和Huh7-NTCP,因其易操作、短周期、重现性佳的特点,在乙肝病毒(HBV)研究中扮演着至关重要的角色。这些细胞模型能够有效模拟HBV的感染过程,为研究HBV的生命周期、宿主限制因子、病毒复制以及药物筛选提供了一个强大而便捷的体外平台。它们不仅有助于揭示HBV感染的分子机制,如DDX3作为宿主限制因子阻碍cccDNA转录,GPC5作为附着因子在感染入胞过程中的作用,还能通过直接与NTCP相互作用或下调NTCP表达来筛选和验证抗病毒药物的活性,例如环孢菌素A及其衍生物、雷帕霉素及其衍生物等。此外,这些工具细胞还促进了对HBV宿主特异性分子的发现,为发展支持HBV感染的小动物模型提供了可能,这对于乙肝相关研究和药物开发具有重大意义。
英文标题:Direct minimization of normal-tissue toxicity via an NTCP-based IMPT planning method
中文标题:基于正常组织并发症概率(NTCP)的调强质子治疗(IMPT)计划方法:直接最小化正常组织毒性
发表期刊:《MEDICAL PHYSICS》
影响因子:3.2
作者单位:
1. State Key Laboratory of Advanced Electromagnetic Technology, School of Electrical and Electronic Engineering, Huazhong University of Science and Technology, Wuhan, Hubei, China;
2. Department of Radiation Oncology, University of Kansas Medical Center, Kansas City, Kansas, USA;
3. Institute of Modern Physics, Chinese Academy of Sciences, Lanzhou, Gansu, China
作者信息:
Wei Wang1,2、Wangyao Li2、Jiaxin Li2,3、Yuting Lin2、Xu Liu1、Bin Qin1*(通讯作者)、Hao Gao2*(通讯作者)
调强质子治疗(IMPT)是癌症治疗的重要手段,其计划制定常依赖基于剂量 - 体积直方图(DVH)的物理剂量约束,以平衡肿瘤控制与危及器官(OARs)保护。但仅关注物理剂量目标无法直接最小化正常组织并发症概率(NTCP),而 NTCP 是量化正常组织毒性、指导质子与光子治疗患者选择的关键标准。目前,NTCP 已用于光子治疗(如 IMRT、VMAT)的生物优化,但尚未在商用或开源 IMPT 计划系统中实现直接优化。因此,本研究提出一种基于 NTCP 的 IMPT 计划方法(NTCP-IMPT),旨在保证肿瘤覆盖的同时,直接最小化正常组织毒性,为头颈部(HN)癌等肿瘤的质子治疗提供更优方案。
本研究选取 4 例既往接受 IMPT 治疗的头颈部癌患者进行回顾性计划设计,所有患者均纳入经机构审查委员会批准的前瞻性数据注册项目。治疗计划采用同步加量技术,临床靶区 CTV6996 和 CTV5940 分别处方 69.96 GyRBE 和 59.40 GyRBE,分 35 次交付(RBE 转换因子为 1.1)。标准 IMPT 计划优化时,纳入 DVH 物理剂量目标、最小监测单位(MMU)约束及鲁棒性优化(9 种场景:8 种不确定场景 + 1 种名义场景),通过内点法求解目标函数;NTCP-IMPT 在标准 IMPT 基础上,新增口干症和吞咽困难(≥2 级、≥3 级)的 NTCP 总和(sum-NTCP)作为优化项,基于荷兰质子治疗适应症协议计算 NTCP,通过调整正则化权重 β 平衡物理剂量与 NTCP 目标(最终选择 f≤1.1×f_IMPT 的计划)。两组计划在相同设置下比较,评估指标包括:靶区(CTV6996、CTV5940)的 D2%、D95%、D98%,OARs(腮腺、下颌下腺、口腔、咽缩肌等)的平均剂量(Dmean)和最大剂量(Dmax),计划鲁棒性(最坏场景下靶区覆盖),以及口干症、吞咽困难的 NTCP 值。统计分析采用相应检验方法,P<0.05 为差异有统计学意义,所有实验重复验证。

图1:治疗计划优化与评估流程图该图清晰展示了 NTCP-IMPT 与标准 IMPT 的优化逻辑:标准 IMPT 仅纳入 DVH 物理剂量目标和 MMU 约束;NTCP-IMPT 在此基础上新增 NTCP 正则化项,通过优化器同步求解,最终从物理剂量、NTCP、计划鲁棒性三个维度进行评估,明确了两种计划的核心差异的是是否包含 NTCP 直接优化。

图2:NTCP-IMPT 中物理剂量与 NTCP 目标的权衡关系每个数据点代表不同 NTCP 正则化权重(β)的质子治疗计划,横轴为 sum-NTCP(%),纵轴为物理剂量目标值与标准 IMPT 的比值(f/f_IMPT)。结果显示,当 f≤1.1×f_IMPT(保证物理剂量质量)时,NTCP-IMPT 可显著降低 sum-NTCP,证实了在不牺牲靶区剂量覆盖的前提下,通过调整 β 可实现物理剂量与 NTCP 目标的有效平衡。

图3:头颈部癌患者 #1 的剂量图及剂量差异图左侧(a、d)为标准 IMPT 剂量分布,中间(b、e)为 NTCP-IMPT 剂量分布,右侧(c、f)为两者剂量差异图(IMPT - NTCP-IMPT)。可见 NTCP-IMPT 在维持靶区(CTV6996)剂量覆盖相当的同时,显著降低了腮腺、下颌下腺、口腔、咽缩肌(PCMs)等毒性相关 OARs 的剂量,差异图中负值区域对应 OARs 剂量减少的部位,直观体现了 NTCP-IMPT 对 OARs 的保护优势。

图4:患者 #1 的鲁棒 DVH 分析左侧(a、b、c)为标准 IMPT,右侧(d、e、f)为 NTCP-IMPT,实线代表名义场景,阴影带代表不确定场景的 DVH 范围。结果显示,两组计划的靶区(CTV6996、CTV5940)在最坏场景下均满足 D95%≥100%、D2%≤110% 的鲁棒性标准,OARs 的 DVH 阴影带范围相近,证实 NTCP-IMPT 在降低 NTCP 的同时,保持了与标准 IMPT 相当的计划鲁棒性。

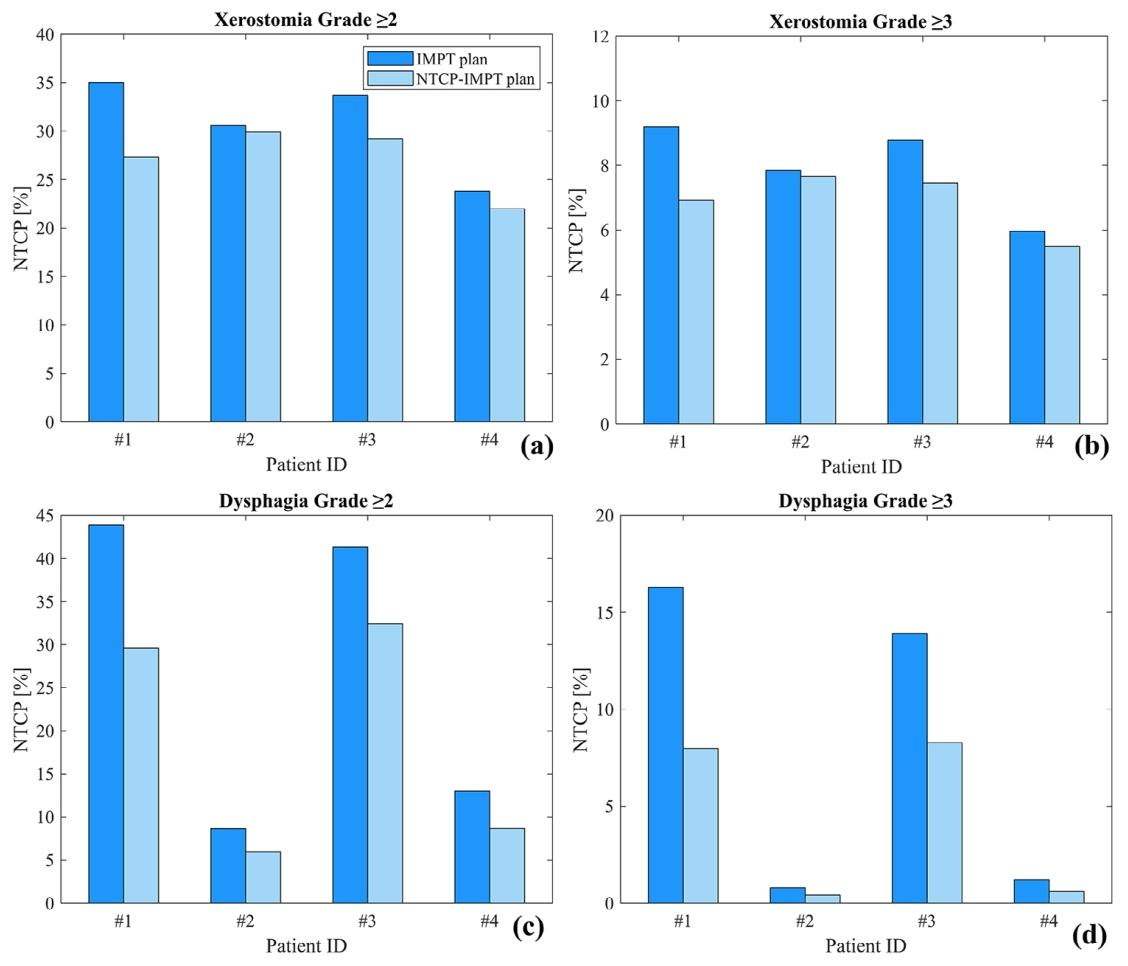
图5:口干症和吞咽困难的 NTCP 直方图图(a)(b)为口干症(≥2 级、≥3 级),图(c)(d)为吞咽困难(≥2 级、≥3 级)。双侧头颈部癌患者(#1、#3)的 NTCP 降低显著:口干症≥2 级平均降低 6.1%、≥3 级平均降低 1.75%,吞咽困难≥2 级平均降低 11.6%、≥3 级平均降低 6.95%;单侧患者(#2、#4)因靶区与同侧腮腺、下颌下腺重叠明显,NTCP 降低较少(口干症≥2 级平均降低 1.25%、≥3 级平均降低 0.35%,吞咽困难≥2 级平均降低 3.5%、≥3 级平均降低 0.45%)。
本研究提出一种新型 NTCP-IMPT 计划方法,通过将口干症、吞咽困难相关的 NTCP 目标直接纳入 IMPT 优化函数,在保证靶区鲁棒覆盖和计划可交付性的前提下,显著减少了毒性相关危及器官的平均剂量,有效降低了正常组织并发症概率,且双侧头颈部癌患者的治疗获益更为明显。该方法不仅为个体化放疗的剂量提升提供了可能,还能助力质子 - 光子治疗的患者筛选及联合治疗方案优化,充分发挥有限质子治疗资源的优势。研究局限性包括 NTCP 优化基于名义场景、未考虑模型参数不确定性及束角预设未纳入优化,未来需进一步开发鲁棒 NTCP 优化方法,整合束角选择,严格落实 MMU 约束,以推动该技术的临床转化与广泛应用。
常见细胞污染类型如何辨别及预防解决方法:细胞培养中常见的生物污染类型有7种,分别是细菌污染,支原体污染,原虫污染,黑胶虫污染,真菌污染,病毒污染以及非细胞污染,真菌污染来源,一般是来自实验服,并且具有气候性,多雨······
细胞聚团的原因分析及如何避免:培养物中细胞可能聚集的一些原因包括:1.过度消化、2.环境压力、3.组织分解、4.过度生长、5.污染等;如何避免聚团细胞的生成;首先确认当前细胞生长密度及状态,80%左右的生长密度即可进行······
细胞有空泡原因分析及解决方法:出现细胞空泡情况有1.细胞老化2.培养液错误配制;3.细胞消化时操作不当;4.污染等等,如细胞老化,解决方法,原代细胞使用较低代次进行实验,传代细胞避免传代次数过高···
细胞半换液和全换液操作步骤:第一种方式:细胞全换液;如果是贴壁细胞,可以用全量换液法,直接吸去全部旧培养基,补充足量新鲜完全培养基;第二种方式:细胞半换液;"细胞半换液"又称"细胞半量换液",即弃掉一半旧的培养基,再······
细胞生长缓慢的可能原因有哪些:细胞培养外部因素包括细胞培养基的配方和质量问题,培养条件不理想,污染问题,细胞自身因素包含细胞的健康状态,细胞密度过高或过低,细胞老化现象,细胞特性,当细胞生长出现缓慢的问题时,我······
常用胰腺癌细胞株动物模型及胰腺癌细胞株有哪些:胰腺癌研究中常用的动物模型主要包括化学物质诱导胰腺癌动物模型,基因工程胰腺癌小鼠模型和胰腺癌移植模型,常用的胰腺细胞株MIA-PACA-2人胰腺癌细胞,Capan-2人胰腺癌细······
产品规格:1*10^6
¥3000
产品规格:1*10^6
¥3000
产品规格:1*10^6
¥3000
产品规格:1*10^6
¥3000
上一篇:TLR2 和 AP-1/NF-κB 参与热杀死单核细胞增生李斯特菌诱导人单核细胞 THP-1 产生 MMP-9 的调控
下一篇:利用天然血管微环境的单 BMSC 来源软骨类器官用于梯度异质性骨软骨再生研究