常见细胞污染类型如何辨别及预防解决方法
常见细胞污染类型如何辨别及预防解决方法:细胞培养中常见的生物污染类型有7种,分别是细菌污染,支原体污染,原虫污染,黑胶虫污染,真菌污染,病毒污染以及非细胞污染,真菌污染来源,一般是来自实验服,并且具有气候性,多雨······
发布时间:2026-01-01 17:00:00 细胞资源库平台 访问量:154
乙肝病毒(HBV)感染是全球主要公共卫生问题之一,有超过2.5亿人慢性感染HBV。而其中有超三分之一的人口集中在我国,人数接近1亿人。NTCP工具细胞,特别是外源表达NTCP的肝癌细胞系如HepG2-NTCP和Huh7-NTCP,因其易操作、短周期、重现性佳的特点,在乙肝病毒(HBV)研究中扮演着至关重要的角色。这些细胞模型能够有效模拟HBV的感染过程,为研究HBV的生命周期、宿主限制因子、病毒复制以及药物筛选提供了一个强大而便捷的体外平台。它们不仅有助于揭示HBV感染的分子机制,如DDX3作为宿主限制因子阻碍cccDNA转录,GPC5作为附着因子在感染入胞过程中的作用,还能通过直接与NTCP相互作用或下调NTCP表达来筛选和验证抗病毒药物的活性,例如环孢菌素A及其衍生物、雷帕霉素及其衍生物等。此外,这些工具细胞还促进了对HBV宿主特异性分子的发现,为发展支持HBV感染的小动物模型提供了可能,这对于乙肝相关研究和药物开发具有重大意义。
英文标题:Discovery of pentacyclic triterpene conjugates as HBV polymerase/NTCP dual-targeting inhibitors with potent anti-HBV activities
中文标题:五环三萜 - 齐多夫定共轭物作为 HBV 聚合酶 / NTCP 双靶点抑制剂的发现及其强效抗 HBV 活性
发表期刊:《Bioorganic Chemistry》
影响因子:4.7
作者单位:
1.School of Traditional Chinese Medicine, Southern Medical University, Guangzhou 510515, China
2.Guangdong Provincial Key Laboratory of Chinese Medicine Pharmaceutics, Guangzhou 510515, China
3.School of Pharmacy, Xiamen Medical College, Xiamen 361023, China
作者信息:
Yixin Chen¹,²†、Meitao Duan¹,³†、Jianling Xu¹、Ao Duan¹ 等;†共同第一作者(Yixin Chen、Meitao Duan);* 通讯作者(Yongyan Zhu:yongyanzhu0521@163.com;Quanhong Zhu:zqh@smu.edu.cn)
乙型肝炎病毒(HBV)感染可引发急慢性肝炎、肝硬化及肝癌,严重威胁人类健康。临床治愈 HBV 的核心指标是抑制 HBV DNA 复制并清除乙肝表面抗原(HBsAg),但现有药物多为单一靶点,难以同时实现这两个目标,且易产生耐药性。HBV 入侵宿主细胞依赖病毒 PreS1 区与宿主细胞表面钠 - 牛磺胆酸共转运多肽(NTCP)结合,而 HBV DNA 复制则由 HBV 聚合酶(HBV Pol)催化。五环三萜类化合物(PTs)对 NTCP 具有高亲和力,齐多夫定(AZT)作为核苷类似物可抑制 HBV Pol 活性。鉴于联合用药在临床中已显示出协同增效潜力,本研究通过分子杂交策略将 PTs 与 AZT 连接,设计合成双靶点抑制剂,同时阻断 HBV 入侵和 DNA 复制,为 HBV 临床治愈提供新的药物候选。
以甘草次酸(GA)、齐墩果酸(OA)、熊果酸(UA)、桦木酸(BA)四种五环三萜为 NTCP 靶向骨架,与 HBV Pol 抑制剂齐多夫定(AZT)通过点击反应合成 20 个 PTs-AZT 共轭物。采用 MTT 法检测共轭物对 HepG2.2.15 细胞的细胞毒性(计算 CC₅₀);ELISA 法检测其对 HBsAg 和 HBeAg 分泌的抑制作用(计算 IC₅₀);Q-PCR 法评估对 HBV DNA 复制的抑制活性;通过分子对接预测活性最优共轭物与 HBV Pol、NTCP 的结合模式;SPR 技术验证其结合亲和力。所有数据采用 GraphPad Prism 5.0 软件分析,以均值 ± 标准差表示,通过计算治疗指数(TI=CC₅₀/IC₅₀)评估化合物的有效性和安全性。

图1:五环三萜与齐多夫定的代表性结构及共轭物合成示意图
该图展示了四种核心五环三萜(甘草次酸 GA、齐墩果酸 OA、熊果酸 UA、桦木酸 BA)及核苷类药物齐多夫定(AZT)的化学结构,明确了分子杂交策略的核心靶点基础 ——PTs 靶向 NTCP、AZT 靶向 HBV Pol。同时通过合成路线图(Scheme 1)呈现了 PTs-AZT 共轭物的制备流程:以 DMF 或 THF 为溶剂,经炔丙基化修饰(Propargyl bromide/Propargylamine)获得单炔类中间体(产率 65%-92%),再与 AZT 在硫酸铜 / 抗坏血酸钠催化下经点击反应生成 20 个共轭物(产率 34%-95%),产物结构经 ¹H NMR、¹³C NMR 及 HRESI-MS 验证无误。

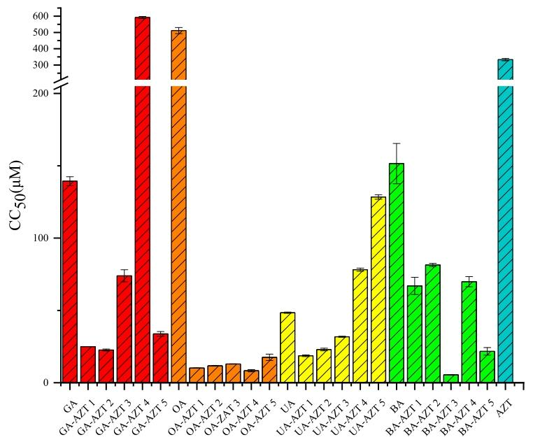
图2:PTs-AZT 共轭物对 HepG2.2.15 细胞的细胞毒性(CC₅₀值)
该图通过柱状图直观呈现了各共轭物及亲本化合物对 HepG2.2.15 细胞的毒性差异。结果显示,GA-AZT 系列毒性最低,平均 CC₅₀达 136.4 μM;BA-AZT 与 UA-AZT 系列毒性中等,平均 CC₅₀分别为 49.10 μM 和 56.0 μM;OA-AZT 系列毒性最高,平均 CC₅₀仅 12.16 μM。除 GA-AZT4、UA-AZT4、UA-AZT5 外,其余共轭物毒性较亲本化合物略有升高,但整体处于低毒范围,为后续活性评价提供了安全剂量基础。

图3:PTs-AZT 共轭物对 HBsAg 和 HBeAg 分泌的抑制活性及治疗指数(TI)
该图分为三个子图,分别展示高活性低毒性、低活性低毒性及高毒性共轭物对 HBsAg 和 HBeAg 的抑制效果。所有共轭物对 HBsAg 的抑制活性均显著优于 HBeAg,其中 BA-AZT1 和 GA-AZT4 表现最优:BA-AZT1 对 HBsAg 的 IC₅₀=0.65±0.07 μM,TI=102.98,分别是亲本 BA 和 AZT 的 284.2 倍、442.4 倍,TI 较 AZT 提升 87.8 倍;GA-AZT4 的 HBsAg IC₅₀=5.44±0.67 μM,TI=108.17,较 AZT 提升 92.3 倍。65% 的共轭物能降低 HBeAg 分泌,但活性较弱,仅 BA-AZT1 的 HBeAg IC₅₀=13.42±0.47 μM,是 BA 和 AZT 的 8.3 倍、29.7 倍。

图4:PTs-AZT 共轭物对 HBV DNA 复制的抑制活性及治疗指数(TI)
该图通过分组柱状图呈现了共轭物对 HBV DNA 复制的抑制效果。结果显示,GA 和 OA 单独使用对 HBV DNA 无显著抑制(IC₅₀>100 μM),而 AZT 的 IC₅₀=7.29±0.24 μM;BA-AZT1 和 GA-AZT5 表现出强效抑制,其中 BA-AZT1 的 IC₅₀=0.70±0.02 μM,是 AZT 的 10.4 倍,与阳性药 3TC(IC₅₀=0.84±0.13 μM)相当,其 TI=95.62,分别较 BA(TI=0.92)和 AZT(TI=45.72)提升 104 倍和 2 倍,证实共轭物通过双靶点协同增强了对 HBV DNA 复制的抑制作用。

图5:BA-AZT1 与 HBV Pol 的分子对接结果
该图包含 3D 和 2D 相互作用图,揭示了 BA-AZT1 与 HBV Pol 逆转录区(RT 区)的结合模式。AZT 部分靶向 RT 区 B 域(505-528),与 515 Ile、520 Pro 等氨基酸形成疏水作用,C5 羟基与 522 Ser 形成氢键,尿嘧啶环与 522 Ser 形成 C-H…π 相互作用;BA 部分则与耐药靶点 C 域(546-556)的 547 Phe、550 Met 等 5 个关键氨基酸形成疏水作用,C28 羧基与 551 Gly 形成氢键。这种 “B 域 + C 域” 的双重结合模式增强了 BA-AZT1 与 HBV Pol 的亲和力,解释了其优于 AZT 的抑制活性。

图6:BA-AZT1 与 HBV Pol C 域肽段的 SPR 结合分析
该图通过传感器图展示了 BA-AZT1、BA 及 AZT 与 HBV Pol C 域肽段的结合动力学曲线。SPR 定量结果显示,BA-AZT1 与 C 域肽段的结合亲和力 Kd=19.55 μM,显著强于 BA(Kd=53.21 μM)和 AZT(Kd=31.82 μM),与分子对接及体外 DNA 复制抑制实验结果一致。这表明 BA 的疏水骨架与 C 域肽段的疏水相互作用,使 BA-AZT1 对 HBV Pol 的结合力显著增强,进而提升了抑制活性。

图7:BA-AZT1 与 PreS1、NTCP 及 NTCP 表位的 SPR 结合分析
该图分为两个子图,分别展示 BA-AZT1 与 PreS1、NTCP 的结合,以及与 NTCP 不同表位的结合情况。结果显示,BA-AZT1 对 NTCP 的 Kd=87.63 μM,几乎不结合 PreS1;进一步分析表明,其优先结合 NTCP 157-165 表位(Kd=38.79 μM),与阳性药环孢素 A(Kd=0.12 μM)结合模式一致,而与 NTCP 84-87 表位无显著相互作用(Kd=66.32 μM),证实 BA-AZT1 通过选择性结合 NTCP 157-165 表位阻断 HBV 入侵。

图8:BA-AZT1 与 NTCP 的分子对接结果
该图包含 3D 和 2D 相互作用图,揭示了 BA-AZT1 与 NTCP 157-165 表位的结合机制。BA-AZT1 的平面五环结构插入 PreS1 与 NTCP 的作用界面,AZT 部分与 157 Lys 形成氢键和 π-Alkyl 相互作用,与 160 Val、161 Ile 形成 π-Alkyl 相互作用;BA 部分与 161 Ile、165 Leu 等 4 个氨基酸形成 π-Alkyl 相互作用,同时与 156 Try、158 Gly 等 8 个氨基酸形成范德华力。多重作用力的协同作用增强了 BA-AZT1 与 NTCP 的结合稳定性,确保其能有效阻断 HBV 入侵。
本研究通过分子杂交策略成功合成 20 个 HBV 聚合酶 / NTCP 双靶点抑制剂(PTs-AZT 共轭物),其中 BA-AZT1 表现出最优抗 HBV 活性,既能强效抑制 HBsAg 分泌(IC₅₀=0.65±0.07 μM)和 HBV DNA 复制(IC₅₀=0.70±0.02 μM),又具有良好的治疗指数(TI>95)。机制研究表明,BA-AZT1 的 AZT 部分靶向 HBV Pol 的 B/C 双域增强抑制活性,BA 部分选择性结合 NTCP 157-165 表位阻断病毒入侵,实现 “入侵 + 复制” 双环节协同抑制。该研究为 HBV 双靶点药物设计提供了新策略,BA-AZT1 有望成为 HBV 临床治愈的潜在候选药物。
常见细胞污染类型如何辨别及预防解决方法:细胞培养中常见的生物污染类型有7种,分别是细菌污染,支原体污染,原虫污染,黑胶虫污染,真菌污染,病毒污染以及非细胞污染,真菌污染来源,一般是来自实验服,并且具有气候性,多雨······
细胞聚团的原因分析及如何避免:培养物中细胞可能聚集的一些原因包括:1.过度消化、2.环境压力、3.组织分解、4.过度生长、5.污染等;如何避免聚团细胞的生成;首先确认当前细胞生长密度及状态,80%左右的生长密度即可进行······
细胞有空泡原因分析及解决方法:出现细胞空泡情况有1.细胞老化2.培养液错误配制;3.细胞消化时操作不当;4.污染等等,如细胞老化,解决方法,原代细胞使用较低代次进行实验,传代细胞避免传代次数过高···
细胞半换液和全换液操作步骤:第一种方式:细胞全换液;如果是贴壁细胞,可以用全量换液法,直接吸去全部旧培养基,补充足量新鲜完全培养基;第二种方式:细胞半换液;"细胞半换液"又称"细胞半量换液",即弃掉一半旧的培养基,再······
细胞生长缓慢的可能原因有哪些:细胞培养外部因素包括细胞培养基的配方和质量问题,培养条件不理想,污染问题,细胞自身因素包含细胞的健康状态,细胞密度过高或过低,细胞老化现象,细胞特性,当细胞生长出现缓慢的问题时,我······
常用胰腺癌细胞株动物模型及胰腺癌细胞株有哪些:胰腺癌研究中常用的动物模型主要包括化学物质诱导胰腺癌动物模型,基因工程胰腺癌小鼠模型和胰腺癌移植模型,常用的胰腺细胞株MIA-PACA-2人胰腺癌细胞,Capan-2人胰腺癌细······
产品规格:1*10^6
¥3000
产品规格:1*10^6
¥3000
产品规格:1*10^6
¥3000
产品规格:1*10^6
¥3000
下一篇:活细胞染色质环 “实时追踪” 新工具!分裂荧光素酶平台灵敏度达 10 倍背景