常见细胞污染类型如何辨别及预防解决方法
常见细胞污染类型如何辨别及预防解决方法:细胞培养中常见的生物污染类型有7种,分别是细菌污染,支原体污染,原虫污染,黑胶虫污染,真菌污染,病毒污染以及非细胞污染,真菌污染来源,一般是来自实验服,并且具有气候性,多雨······
发布时间:2026-04-20 09:00:00 细胞资源库平台 访问量:4
Reporter THP1 Cell Line 细胞系是以 THP-1 为工具细胞,采用慢病毒感染的方式,构建稳定表达报告基因的细胞系,可用于检测信号通路转导。在被PMA、INF-α等刺激后,目标信号通路被激活,会启动下游特定基因的表达,这个表达过程会同时带动“报告基因”的表达。通过检测报告基因的信号强度,可以间接、定量、灵敏地衡量该信号通路的激活程度。
THP-1细胞本身来源于人单核细胞,可以分化为巨噬细胞样细胞,是研究先天免疫的经典模型。报告基因株的建立使其功能更强大。THP-1报告基因株是免疫学、炎症性疾病、药物研发等领域不可或缺的强大工具。它可以将一个复杂的、内在的生物学过程(信号通路激活/基因表达)转变为一个易于检测、可定量的物理信号(光或荧光)。这使得研究人员能够高通量地筛选药物,精确地量化免疫反应强度,直观地研究信号通路机制。
英文标题:Transcriptional Activation of a Pro-Inflammatory Response (NF-κB, AP-1, IL-1β) by the Vibrio cholerae Cytotoxin (VCC) Monomer through the MAPK Signaling Pathway in the THP-1 Human Macrophage Cell Line
中文标题:霍乱弧菌细胞毒素(VCC)单体通过 MAPK 信号通路在人巨噬细胞 THP‑1 中转录激活促炎反应(NF‑κB、AP‑1、IL‑1β)
发表期刊:《International Journal of Molecular Sciences》(IJMS)
影响因子:4.9
作者单位:
1.Doctorate Program in Medical Research, Research Department, Escuela Superior de Medicina, Instituto Politécnico Nacional, Mexico City 07320, Mexico
2.Masters in Health Sciences, Postgraduate Studies and Research Section, Escuela Superior de Medicina, Instituto Politécnico Nacional, Mexico City 07320, Mexico
3.Departament of Gastroenterology, Instituto Nacional de Ciencias Médicas y Nutrición Salvador Zubirán, Mexico City 14080, Mexico
作者信息:
第一作者:Julio Rodrigo Escartín-Gutiérrez
通讯作者:Paula Figueroa-Arredondo
霍乱弧菌是引起人类霍乱及严重腹泻性传染病的革兰氏阴性致病菌,其关键致病因子之一为霍乱弧菌细胞毒素 VCC,该毒素属于成孔毒素,可在宿主细胞膜上形成七聚体孔道并造成细胞空泡化、自噬甚至死亡,但既往研究多聚焦于 VCC 寡聚体或在小鼠细胞模型中的作用,对 VCC单体形式在人巨噬细胞中如何启动先天免疫与促炎信号的机制仍不明确。巨噬细胞作为抗感染第一道防线,可通过模式识别受体识别病原体相关分子模式 PAMP,进而激活 MAPK 信号通路并调控 NF‑κB、AP‑1 等转录因子,最终介导 IL‑1β 等促炎因子的释放与炎症小体活化,因此本研究旨在阐明 VCC 单体是否通过 MAPK 通路在人 THP‑1 巨噬细胞中触发促炎转录反应,并揭示其时间动态与分子关联。
本研究使用高表达 VCC 的霍乱弧菌 69750 菌株制备并纯化 65 kDa 的 VCC 单体,通过 Vero 细胞空泡化实验确定40 pg/mL为不引发明显空泡化但可激活信号通路的工作浓度;以 PMA 分化的人 THP‑1 巨噬细胞为模型,设置 10、15、30、60 分钟、6 小时及 24 小时等不同时间点的 VCC 处理组,并以 LPS 作为阳性对照、未处理细胞作为阴性对照;通过倒置显微镜观察细胞形态变化,采用 Western blot 检测 p38、ERK 及其磷酸化水平、pro‑IL‑1β、Caspase‑1 蛋白表达,ELISA 检测细胞上清中成熟 IL‑1β 的分泌量,LDH 释放实验评估细胞裂解死亡,qRT‑PCR 检测 NF‑κB (p50)、AP‑1 亚基 Fos 和 Jun 的 mRNA 转录水平,所有数据采用 ANOVA 结合 Student–Newman–Keuls 方法进行统计学分析。

图 1:VCC 作用浓度的标准化与非空泡化促炎条件建立
图 1 主要完成了 VCC 单体在 THP‑1 巨噬细胞中作用浓度的标准化,确定了既能激活促炎反应又不引发典型空泡化的实验浓度。结果显示,40 pg/mL 的 VCC 处理细胞后,60 分钟内无明显空泡化表型,90 分钟仅出现少量空泡,180 分钟才出现明显细胞死亡与裂解,说明该浓度可避开高浓度毒素造成的膜穿孔与自噬空泡化,适合用于早期信号通路研究;同时 Western blot 结果证实,该浓度处理 6 小时可诱导 pro‑IL‑1β 蛋白表达,提示 VCC 单体在不造成明显细胞损伤的情况下即可启动促炎相关蛋白的合成,为后续信号通路实验提供了稳定可靠的浓度与时间窗口。

图 2:VCC 单体快速诱导 THP‑1 巨噬细胞释放成熟 IL‑1β
图 2 通过 ELISA 实验明确了 VCC 单体可直接触发巨噬细胞分泌关键促炎因子 IL‑1β,并且呈现明显的时间依赖效应。在 40 pg/mL VCC 处理后,THP‑1 巨噬细胞在 30 分钟即可检测到成熟 IL‑1β 的释放,60 分钟进一步升高,120 分钟达到更高水平,延长至 2‑6 小时后释放量持续上升;与 LPS 阳性对照相比,VCC 诱导的 IL‑1β 释放强度更低但趋势一致,而阴性对照组无明显 IL‑1β 分泌,这一结果直接证明 VCC 单体可在早期快速激活炎症反应,并促使细胞完成 pro‑IL‑1β 的剪切、成熟与分泌,是 VCC 触发先天免疫的直接功能证据。

图 3:VCC 单体在 THP‑1 巨噬细胞中快速激活 p38 MAPK 磷酸化
图 3 揭示了 VCC 单体对 MAPK 通路中核心促炎分子 p38 的激活规律,呈现典型的早期快速激活特征。在 40 pg/mL VCC 处理后,p38 的磷酸化水平在 15 分钟和 30 分钟显著升高,10 分钟无明显激活,60 分钟有所回落,而总 p38 蛋白水平在各组间保持稳定,内参 β‑actin 表达均匀,说明激活并非由蛋白总量变化引起;灰度分析曲线显示 p38 磷酸化呈 15 分钟达峰的高斯分布,证实 VCC 单体在与巨噬细胞接触后极短时间内即可启动 p38 MAPK 信号,这是下游促炎转录程序激活的关键上游事件。

图 4:VCC 单体同步激活 ERK MAPK 磷酸化介导细胞存活信号
图 4 证实 VCC 单体除激活促炎相关的 p38 外,还可快速激活 ERK MAPK 通路,启动细胞存活程序。结果显示,VCC 处理后 ERK1/2 的磷酸化水平同样在 15 分钟和 30 分钟达到峰值,60 分钟明显下降,细胞本身存在微弱的基础磷酸化水平,但不影响 VCC 诱导的显著性升高;ERK 作为调控细胞存活、增殖的关键 MAPK 分子,其早期激活提示 VCC 在触发促炎的同时,会短暂维持细胞存活以保证炎症因子充分合成,这与后续焦亡前的细胞状态高度吻合,也说明 VCC 诱导的信号是促炎与存活并行的双通路模式。

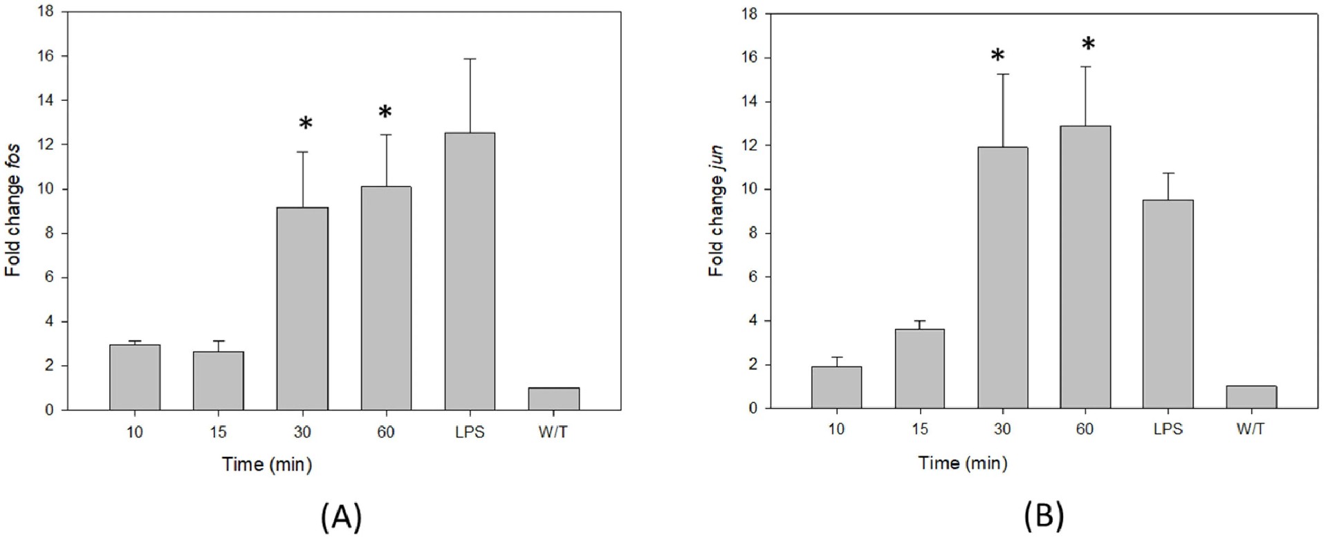
图 5:VCC 单体通过上调 Fos 和 Jun 转录激活 AP‑1 转录因子
图 5 从转录水平证明 VCC 单体可激活 AP‑1 转录复合物,其激活具有明显时间依赖性。qRT‑PCR 结果显示,VCC 处理 30 分钟和 60 分钟后,AP‑1 的两个核心亚基 Fos 和 Jun 的 mRNA 表达均显著升高,而 10 分钟和 15 分钟无明显变化,与 ERK 的激活时间高度匹配;AP‑1 主要调控细胞存活、增殖及炎症相关基因表达,其激活进一步证实 VCC 通过 MAPK‑ERK 轴启动细胞存活程序,为炎症小体组装和 IL‑1β 持续合成提供时间与功能基础。

图 6:VCC 单体在 60 分钟显著激活 NF‑κB (p50) 转录启动促炎程序
图 6 揭示 VCC 单体可激活促炎核心转录因子 NF‑κB,并且激活峰值出现在 60 分钟。实验结果显示,THP‑1 巨噬细胞在 VCC 处理后,NF‑κB 亚基 p50 的 mRNA 表达随时间递增,60 分钟达到最高水平,显著高于阴性对照组,但弱于 LPS 阳性对照;NF‑κB 是调控 IL‑1β、炎症小体相关基因的核心转录因子,其激活说明 VCC 通过 MAPK 通路将上游信号转化为促炎转录程序,为 pro‑IL‑1β 合成、Caspase‑1 活化及炎症小体组装提供转录基础。

图 7:VCC 单体诱导 Caspase‑1 活化并最终引发巨噬细胞焦亡
图 7 从细胞死亡与炎症小体关键蛋白角度证实 VCC 诱导的是焦亡型促炎细胞死亡。短期处理(10‑60 分钟)未检测到明显 LDH 释放,说明早期仅启动信号而不造成细胞膜破裂;24 小时后 LDH 释放显著上升,提示细胞发生裂解死亡;6 小时处理可检测到 Caspase‑1 蛋白表达,且 VCC 组条带强度高于 LPS 对照组,表明 VCC 单体可有效激活 Caspase‑1,进而促进 IL‑1β 成熟与炎症小体活化,最终导致巨噬细胞发生焦亡,完成完整的促炎免疫反应。

图 8:VCC 单体激活先天免疫反应的分子机制模式图
图 8 总结了本研究提出的完整分子机制:VCC 单体以 PAMP 形式被巨噬细胞膜上的 TLR(主要为 TLR4)识别,进而启动 MAPK 信号级联,同步激活 p38 与 ERK 两条通路;p38 主要介导促炎信号,激活 NF‑κB 转录程序,ERK 则介导存活信号,激活 AP‑1 转录程序;两类转录因子共同作用,促进 pro‑IL‑1β 合成、Caspase‑1 活化与 NLRP3 炎症小体组装,最终释放成熟 IL‑1β 并引发细胞焦亡,构成 VCC 单体在人巨噬细胞中触发先天促炎反应的完整调控轴。

图 9:VCC 激活 MAPK 与下游转录因子的时间轴
图 9 以时间轴形式清晰展示了 VCC 诱导信号激活的时序性:VCC 处理后15 分钟快速启动 p38、ERK 磷酸化;30‑60 分钟持续激活 AP‑1(Fos/Jun)与 NF‑κB(p50)转录;随后逐步启动 pro‑IL‑1β 表达、Caspase‑1 活化,最终在 6‑24 小时引发焦亡与 IL‑1β 大量释放,整个过程呈现高度有序的时间动态,证实 VCC 是一种早期、快速、时序性的先天免疫激活因子。
本研究系统阐明了霍乱弧菌细胞毒素 VCC 单体在极低浓度(40 pg/mL)下,无需引发细胞空泡化即可作为病原体相关分子模式,通过 TLR 受体快速激活人 THP‑1 巨噬细胞中的 MAPK 信号通路,在 15‑30 分钟早期同步启动 p38 促炎信号与 ERK 存活信号,分别介导 NF‑κB 促炎转录程序与 AP‑1 存活转录程序,随后促进 pro‑IL‑1β 合成、Caspase‑1 活化及 NLRP3 炎症小体组装,最终诱导 IL‑1β 成熟释放并触发巨噬细胞焦亡,揭示了 VCC 单体调控人类先天免疫反应的时序性、双通路并行的分子机制,为霍乱感染的致病机理、免疫防控及毒素靶向干预提供了重要的理论与实验依据。
常见细胞污染类型如何辨别及预防解决方法:细胞培养中常见的生物污染类型有7种,分别是细菌污染,支原体污染,原虫污染,黑胶虫污染,真菌污染,病毒污染以及非细胞污染,真菌污染来源,一般是来自实验服,并且具有气候性,多雨······
细胞聚团的原因分析及如何避免:培养物中细胞可能聚集的一些原因包括:1.过度消化、2.环境压力、3.组织分解、4.过度生长、5.污染等;如何避免聚团细胞的生成;首先确认当前细胞生长密度及状态,80%左右的生长密度即可进行······
细胞有空泡原因分析及解决方法:出现细胞空泡情况有1.细胞老化2.培养液错误配制;3.细胞消化时操作不当;4.污染等等,如细胞老化,解决方法,原代细胞使用较低代次进行实验,传代细胞避免传代次数过高···
细胞半换液和全换液操作步骤:第一种方式:细胞全换液;如果是贴壁细胞,可以用全量换液法,直接吸去全部旧培养基,补充足量新鲜完全培养基;第二种方式:细胞半换液;"细胞半换液"又称"细胞半量换液",即弃掉一半旧的培养基,再······
细胞生长缓慢的可能原因有哪些:细胞培养外部因素包括细胞培养基的配方和质量问题,培养条件不理想,污染问题,细胞自身因素包含细胞的健康状态,细胞密度过高或过低,细胞老化现象,细胞特性,当细胞生长出现缓慢的问题时,我······
常用胰腺癌细胞株动物模型及胰腺癌细胞株有哪些:胰腺癌研究中常用的动物模型主要包括化学物质诱导胰腺癌动物模型,基因工程胰腺癌小鼠模型和胰腺癌移植模型,常用的胰腺细胞株MIA-PACA-2人胰腺癌细胞,Capan-2人胰腺癌细······
产品规格:1*10^6
¥3000
产品规格:1*10^6
¥3000
产品规格:1*10^6
¥3000
产品规格:1*10^6
¥3000
上一篇:NTCP泛素化促进乙型肝炎病毒感染丨K340位点泛素化决定乙肝病毒能否入侵
下一篇:点亮胰腺神经内分泌肿瘤:利用新型生物发光细胞系构建小鼠模型!