常见细胞污染类型如何辨别及预防解决方法
常见细胞污染类型如何辨别及预防解决方法:细胞培养中常见的生物污染类型有7种,分别是细菌污染,支原体污染,原虫污染,黑胶虫污染,真菌污染,病毒污染以及非细胞污染,真菌污染来源,一般是来自实验服,并且具有气候性,多雨······
发布时间:2025-12-12 09:07:29 细胞资源库平台 访问量:159
在生物医学研究和药物开发领域,生物发光成像技术因其高信噪比而被广泛应用于细胞测定和动物成像研究。然而,传统的荧光素酶种类有限,限制了同时成像多个分子和细胞事件的能力。为了突破这一限制,科学家们开发了一种新型的ATP非依赖性荧光素酶——NanoLuc(NL),它源自深海虾Oplophorus gracilirostris,并经过工程改造以增强蛋白质稳定性。NanoLuc作为一种小型(19 kDa)、高亮度的荧光素酶,其亮度是传统萤火虫或海肾荧光素酶的100倍,并且使用furimazine作为底物产生明亮的辉光型发光。NanoLuc的意义在于其为双报告基因生物发光分子成像提供了新的可能。它不仅可以在活体小鼠的表层和深层组织中成像,而且其生物发光随时间的变化可以用来定量肿瘤生长,甚至在少量血清中也能检测到分泌的NL。此外,NanoLuc与萤火虫荧光素酶的结合使用,为在完整细胞和活体小鼠中定量TGF-β信号传导的两个关键步骤提供了一种新型双荧光素酶成像策略,从而在正常生理、疾病和药物开发中扩展了信号转导的成像能力。NanoLuc的作用不仅体现在其高灵敏度和高稳定性上,它还具有更小的尺寸,这使得在标记细胞和蛋白质时对样本的侵入性更小,有助于保持细胞或组织的天然状态。NanoLuc的快速反应、低背景发光和多样灵活等特点,使其在生物学和医学研究中具有广泛的应用前景。因此,NanoLuc作为一种新的报告基因,不仅增强了我们对生物过程的理解和疾病机理的研究,而且在开发潜在治疗方法和疗法方面发挥了重要作用。
英文标题:Rapid Quantification of Bluetongue Virus-Neutralizing Antibodies Using Bioluminescent Reporter-Expressing Viruses
中文标题:基于生物发光报告病毒的蓝舌病病毒中和抗体快速定量方法
发表期刊:《Vaccines》
影响因子:3.4
作者单位:
Centro de Investigación en Sanidad Animal (CISA), Instituto Nacional de Investigación y Tecnología Agraria y Alimentaria (INIA), Valdeolmos, 28130 Madrid, Spain
作者信息:
Luis Jiménez-Cabello*, Sergio Utrilla-Trigo, Eva Calvo-Pinilla, Aitor Nogales, Javier Ortego
蓝舌病病毒(BTV)是危害野生及家养反刍动物的虫媒病毒,可引发严重蓝舌病(BT),导致养殖业重大经济损失。中和抗体(NAbs)的定量检测是评估 BTV 感染状态、疫苗保护效力的核心手段,但传统血清中和试验(SNT)需 5 天孵育、依赖细胞病变(CPE)观察,操作繁琐且结果易偏差。本研究利用反向遗传学构建表达纳米荧光素酶(NLuc)的重组 BTV 报告病毒,建立快速、精准的生物发光中和试验,解决传统方法的痛点。
本研究以 Vero 细胞为宿主细胞,采用 BTV-1、4、8 血清型野生株及通过反向遗传学构建的重组 NLuc 报告病毒(rBTV-1/4/8/NLuc,NLuc 基因融合于 BTV S5 片段 NS1 的 C 端,依赖 PTV-1 2A 自剪切位点实现 NS1 与 NLuc 独立表达);同时开展两种中和试验,传统微量中和试验需将倍比稀释的热灭活血清与病毒孵育后感染 Vero 细胞,孵育 5 天通过结晶紫染色观察细胞病变并计算中和滴度(ND₅₀),NLuc-based 微量中和试验则在血清 - 病毒孵育感染细胞后,于 48/72 小时检测细胞上清的 NLuc 活性并计算中和滴度(NT₅₀);通过 BTV 感染牛血清、BTV-4 疫苗免疫绵羊血清、BTV-8 高免小鼠血清验证报告病毒的中和检测能力,结合 41 份绵羊田间血清样本,采用 Spearman 相关分析和 Bland-Altman 一致性分析验证两种方法的相关性;以金精三羧酸(ATA)为阳性药物,将其倍比稀释后作用于 rBTV-1/NLuc 感染的 Vero 细胞,48 小时检测 NLuc 活性并计算半数抑制浓度(IC₅₀),评估报告病毒在抗病毒药物筛选中的应用价值。

图 1:重组报告病毒构建与 NLuc-based 中和试验流程
重组报告病毒通过在 BTV S5 片段 3' 端融合 NLuc 基因构建,借助 2A 自剪切位点确保 NS1 与 NLuc 可独立发挥功能;NLuc-based 中和试验无需细胞固定与染色,核心流程为 “血清 - 病毒预孵育→感染 Vero 细胞→48/72 小时检测上清发光信号”,直接通过发光强度反映病毒复制受抑制程度,操作流程更简便。

图 2:BTV-1 感染牛血清的中和活性检测
使用 BTV-1 自然感染牛的阳性血清与阴性牛血清进行检测,结果显示阳性血清可剂量依赖性抑制 rBTV-1/NLuc 的 NLuc 活性,48 小时时中和滴度(NT₅₀)达 1:8356,72 小时 NT₅₀降至 1:3214,而阴性血清无任何抑制作用;且该阳性血清仅对 rBTV-1/NLuc 有中和活性,不跨血清型抑制其他报告病毒,体现严格的血清型特异性。

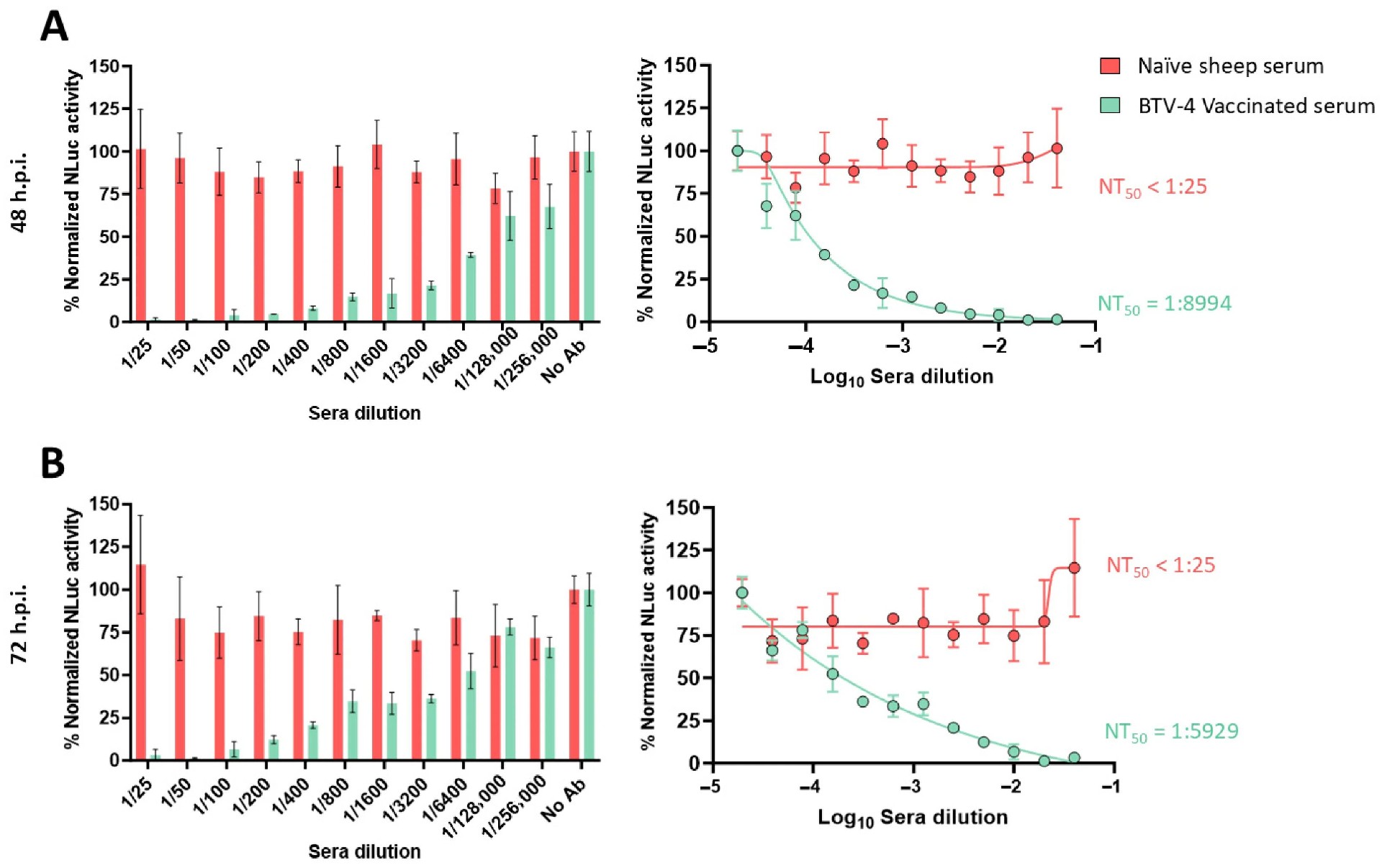
图 3:BTV-4 疫苗免疫绵羊血清的中和活性检测
采用 BTV-4 重组疫苗免疫绵羊的阳性血清与阴性绵羊血清检测,阳性血清能剂量依赖性降低 rBTV-4/NLuc 的 NLuc 活性,48 小时 NT₅₀为 1:8994,72 小时降至 1:5929,阴性血清无中和效果;同时该血清仅针对 rBTV-4/NLuc 发挥作用,不交叉抑制 BTV-1/8 血清型报告病毒,进一步证实血清型特异性。

图 4:BTV-8 高免小鼠血清的中和活性检测
因缺乏 BTV-8 自然宿主血清,使用 BTV-8 高免小鼠血清与阴性小鼠血清验证,阳性血清可剂量依赖性抑制 rBTV-8/NLuc 的 NLuc 活性,48 小时 NT₅₀达 1:4365,72 小时降至 1:1137,阴性血清无抑制作用;且无跨血清型中和活性,说明该报告病毒可适用于稀有血清型 BTV 的中和抗体检测。

图 5:田间血清样本的方法相关性分析
对 41 份绵羊田间血清进行检测,结果显示 rBTV-1/4/8/NLuc 的 NT₅₀与传统血清中和试验的中和滴度(ND₅₀)呈强正相关,其中 BTV-1 相关系数 r=0.9329、BTV-4 r=0.8070、BTV-8 r=0.9983,且均满足 p<0.0001;阳性田间血清能特异性抑制同源报告病毒,阴性血清无中和活性,与传统试验结果完全匹配。

图 6:两种中和试验的结果一致性分析
通过 Bland-Altman 图分析两种方法的一致性,结果显示 NLuc-based 试验与传统血清中和试验的检测偏差较小,BTV-1、BTV-4、BTV-8 的检测偏差分别为 0.1313、0.3831、-0.0044,且上下一致性界限(LoA)范围窄,说明两种方法的检测结果重复性良好,NLuc-based 试验可作为传统方法的可靠替代。

图 7:rBTV-1/NLuc 在抗病毒药物筛选中的应用
以金精三羧酸(ATA)为阳性药物评估报告病毒的药物筛选价值,结果显示 ATA 呈剂量依赖性降低 rBTV-1/NLuc 的 NLuc 活性,48 小时计算的半数抑制浓度(IC₅₀)为 8.507 μM,与传统空斑试验测得的野生型 BTV-4 IC₅₀(2.7 μM)接近,证实该报告病毒可快速、准确地用于抗 BTV 药物筛选。
本研究成功构建了 BTV-1/4/8 血清型 NLuc 报告病毒,建立的 NLuc-based 中和试验具有三大优势:1. 快速高效:48 小时出结果,较传统 SNT 缩短 2-3 天,无需固定染色;2. 精准特异:与传统 SNT 强相关(r≥0.8070),保持严格血清型特异性;3. 多功能性:既可定量自然感染 / 疫苗免疫动物的 NAbs,也能快速筛选抗病毒药物(如 ATA)。该方法解决了传统中和试验的痛点,为 BTV 流行病学监测、疫苗效力评估及抗病毒研发提供了高效工具,对蓝舌病防控具有重要实用价值。
常见细胞污染类型如何辨别及预防解决方法:细胞培养中常见的生物污染类型有7种,分别是细菌污染,支原体污染,原虫污染,黑胶虫污染,真菌污染,病毒污染以及非细胞污染,真菌污染来源,一般是来自实验服,并且具有气候性,多雨······
细胞聚团的原因分析及如何避免:培养物中细胞可能聚集的一些原因包括:1.过度消化、2.环境压力、3.组织分解、4.过度生长、5.污染等;如何避免聚团细胞的生成;首先确认当前细胞生长密度及状态,80%左右的生长密度即可进行······
细胞有空泡原因分析及解决方法:出现细胞空泡情况有1.细胞老化2.培养液错误配制;3.细胞消化时操作不当;4.污染等等,如细胞老化,解决方法,原代细胞使用较低代次进行实验,传代细胞避免传代次数过高···
细胞半换液和全换液操作步骤:第一种方式:细胞全换液;如果是贴壁细胞,可以用全量换液法,直接吸去全部旧培养基,补充足量新鲜完全培养基;第二种方式:细胞半换液;"细胞半换液"又称"细胞半量换液",即弃掉一半旧的培养基,再······
细胞生长缓慢的可能原因有哪些:细胞培养外部因素包括细胞培养基的配方和质量问题,培养条件不理想,污染问题,细胞自身因素包含细胞的健康状态,细胞密度过高或过低,细胞老化现象,细胞特性,当细胞生长出现缓慢的问题时,我······
常用胰腺癌细胞株动物模型及胰腺癌细胞株有哪些:胰腺癌研究中常用的动物模型主要包括化学物质诱导胰腺癌动物模型,基因工程胰腺癌小鼠模型和胰腺癌移植模型,常用的胰腺细胞株MIA-PACA-2人胰腺癌细胞,Capan-2人胰腺癌细······
产品规格:1*10^6
¥3000
产品规格:1*10^6
¥3000
产品规格:1*10^6
¥3000
产品规格:1*10^6
¥3000
上一篇:亚洲人专属保护基因!NTCP S267F 变异可降低乙肝进展至肝硬化、肝癌风险