常见细胞污染类型如何辨别及预防解决方法
常见细胞污染类型如何辨别及预防解决方法:细胞培养中常见的生物污染类型有7种,分别是细菌污染,支原体污染,原虫污染,黑胶虫污染,真菌污染,病毒污染以及非细胞污染,真菌污染来源,一般是来自实验服,并且具有气候性,多雨······
发布时间:2025-03-22 17:17:40 细胞资源库平台 访问量:262
英文标题:Novel drimane-type sesquiterpenoids and nucleosides from Helicoma septoconstrictum suppress the growth of ovarian cancer cells.
中文标题:新型驱动型倍半萜类和核苷类化合物来自窄隔螺杆菌抑制卵巢癌细胞的生长
发表期刊:《Bioorganic Chemistry》
影响因子:5.1
作者单位:贵州大学
作者信息:Wen Zheng、Long Han、Zhang-Jiang He、Ji-Chuan Kang (通讯作者).
卵巢癌是一种致命的女性生殖系统癌症,对女性健康构成严重威胁。
手术和化疗可以提高患者生存率,但由于耐药性和不良反应,发现新的抗肿瘤药物非常重要。
微生物合成是实现结构多样化和制备难以通过化学方法获得的化合物的必要途径。
目前,关于真菌代谢物的研究主要集中在植物内生真菌,而腐生和淡水真菌的研究相对较少。
Helicoma septoconstrictum是一种属于Tubeufiaceae科的腐生真菌,具有抗肿瘤活性。
Tubeufiaceae家族的菌株已分离出多种结构类型的化合物,具有抗肿瘤等生物活性。
H. septoconstrictum TW03-2提取物具有抗肿瘤作用,其发酵结果获得了四种新的龙脑型sesquiterpenoids和两种新的核苷衍生物。
本文描述了这些化合物的分离、结构鉴定和抗肿瘤活性测试,并揭示了化合物4对A2780的抗肿瘤机制。
一般实验步骤
光学旋光度使用Autopol VI自动偏振仪测量。紫外光谱使用Shimadzu UV-2201光谱仪记录。圆二色谱使用Chirascan圆二色光谱仪。红外光谱使用Bruker Vertex 70红外光谱仪。核磁数据在Bruker AVANCE 500核磁共振仪上测定。高分辨质谱使用Waters UPLC-QTOF质谱仪。柱色谱使用硅胶、Sephadex LH-20、Chromatorex RP-C18凝胶和宏观树脂。所用溶剂均为分析纯。
真菌材料和发酵
真菌H. septoconstrictum TW03-2从泰国一淡水溪流中的腐木分离得到,经鉴定后保存。该真菌在PDA培养基上培养后,转移到PDB培养基中制得种子培养。发酵在含有燕麦粉的培养基中进行,静置培养90天。
提取和分离
发酵液用甲醇提取,得到提取物。提取物经宏观树脂柱色谱分离得到4个组分。组分1用硅胶和Sephadex LH-20柱色谱纯化得到化合物1。组分2经硅胶柱色谱得到6个亚组分,进一步纯化得到化合物2-4。组分4经RP-C18、Sephadex LH-20和硅胶柱色谱纯化得到化合物5-6。
新化合物的物理和光谱数据
描述了6个新化合物的物理状态、旋光度、紫外-可见光谱、红外光谱、核磁共振氢谱和碳谱、高分辨质谱数据。
化合物酸水解和HPLC分析
对化合物进行酸水解,通过RP-HPLC分析水解产物中的单糖。
ECD光谱计算
使用Spartan'14软件对化合物进行构象搜索,并用Gaussian09软件进行ECD光谱计算,得到ECD曲线。
细胞毒性评价
测试了化合物对4种肿瘤细胞株的细胞毒性。
细胞凋亡实验
使用 annexin V-FITC/PI 双染法检测 Helicoside C 诱导的细胞凋亡。
线粒体膜电位检测
使用JC-1染色法检测Helicoside C 对线粒体膜电位的影响。
ROS产生评价
使用H2DCFH-DA染色法评价Helicoside C 诱导的活性氧的产生。
印迹分析
通过Western印迹检测Helicoside C 对肿瘤细胞中凋亡相关蛋白表达的影响。
分子对接
使用AutoDock软件将 Helicoside C 与STAT3蛋白进行分子对接计算。

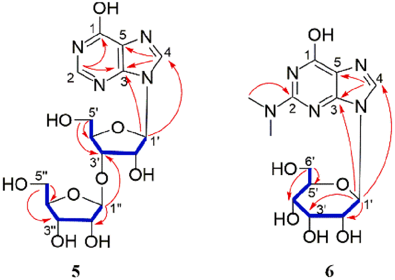
图1. 展示了化合物1-6的化学结构

图2

图3

图4

图5
图2至图5提供了化合物1-6的核磁共振谱图,包括1H-1H COSY、ROESY和相关性以及HMBC(H→C)关系。

图6
图6描述了Helicoside C对A2780细胞凋亡的影响。通过流式细胞术检测了凋亡水平,并通过Western印迹分析了与凋亡相关的蛋白表达。

图7
图7显示了Helicoside C对A2780细胞内活性氧(ROS)产生的影响。使用DCFH-DA染色并通过荧光显微镜和共聚焦显微镜进行了观察。

图8
图8探讨了Helicoside C对STAT3磷酸化的抑制作用。通过分子对接和Western印迹分析,展示了Helicoside C对p-STAT3蛋白表达的影响。
在本研究中,对腐生真菌Helicoma septoconstrictum的化学研究导致了四种新的龙脑型倍半萜类化合物和两种新的核苷衍生物的分离。
这些化合物的结构通过广泛的光谱分析,包括1D和2D NMR、高分辨率ESI-MS谱以及计算的ECD方法得到阐明。
Helicoside C(化合物4)在测试的化合物中显示出中等的抗癌活性。
研究数据初步揭示,Helicom D通过介导STAT3信号通路和诱导ROS介导的线粒体依赖性凋亡,有效抑制了卵巢癌细胞A2780的增殖。
综上所述,研究数据确认了腐生真菌是产生新型生物活性化合物的崭新来源,并为治疗肿瘤疾病的药物发现提供了宝贵的启示。
常见细胞污染类型如何辨别及预防解决方法:细胞培养中常见的生物污染类型有7种,分别是细菌污染,支原体污染,原虫污染,黑胶虫污染,真菌污染,病毒污染以及非细胞污染,真菌污染来源,一般是来自实验服,并且具有气候性,多雨······
细胞聚团的原因分析及如何避免:培养物中细胞可能聚集的一些原因包括:1.过度消化、2.环境压力、3.组织分解、4.过度生长、5.污染等;如何避免聚团细胞的生成;首先确认当前细胞生长密度及状态,80%左右的生长密度即可进行······
细胞有空泡原因分析及解决方法:出现细胞空泡情况有1.细胞老化2.培养液错误配制;3.细胞消化时操作不当;4.污染等等,如细胞老化,解决方法,原代细胞使用较低代次进行实验,传代细胞避免传代次数过高···
细胞半换液和全换液操作步骤:第一种方式:细胞全换液;如果是贴壁细胞,可以用全量换液法,直接吸去全部旧培养基,补充足量新鲜完全培养基;第二种方式:细胞半换液;"细胞半换液"又称"细胞半量换液",即弃掉一半旧的培养基,再······
细胞生长缓慢的可能原因有哪些:细胞培养外部因素包括细胞培养基的配方和质量问题,培养条件不理想,污染问题,细胞自身因素包含细胞的健康状态,细胞密度过高或过低,细胞老化现象,细胞特性,当细胞生长出现缓慢的问题时,我······
常用胰腺癌细胞株动物模型及胰腺癌细胞株有哪些:胰腺癌研究中常用的动物模型主要包括化学物质诱导胰腺癌动物模型,基因工程胰腺癌小鼠模型和胰腺癌移植模型,常用的胰腺细胞株MIA-PACA-2人胰腺癌细胞,Capan-2人胰腺癌细······
产品规格:1*10^6
¥3000
产品规格:1*10^6
¥3000
产品规格:1*10^6
¥3000
产品规格:1*10^6
¥3000
上一篇:基于功能性核酸的人工囊泡包裹复合纳米颗粒的构建及其在视网膜母细胞瘤靶向诊疗中的应用
下一篇:稳定表达 CD19-FLUC-GFP 的 CT26 细胞系的构建及鉴定